優質表觀遺傳學抗體,盡在Diagenode

自2004年以來,Diagenode就與領先的表觀遺傳學專家和表觀遺傳學聯盟合作生產、驗證包括抗體在內的表觀遺傳學試劑。2012年,Diagenode用一種創新、嚴謹的抗體分類系統改革了免疫沉淀技術,用于表觀遺傳學研究。根據驗證水平將抗體分為三個不同級別,以幫助您建立選擇抗體的信心。最終,用您信任的抗體獲得滿意的結果。
抗體分類


檢測結果

圖1. Diagenode H3K4me3特異性抗體的ChIP-seq結果
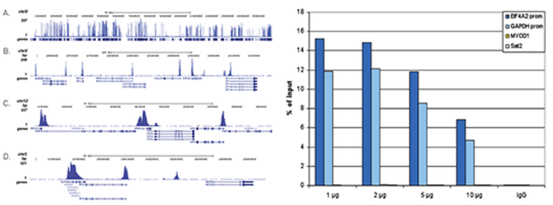
圖2. Diagenode H3K4me3特異性抗體的ChIP結果

圖3. 使用Diagenode H3K4me3特異性抗體進行交叉反應

圖4. 使用Diagenode H3K4me3特異性抗體進行免疫熒光

圖5. Diagenode抗體批次之間很穩定